
生命是一个由发育、成熟,然后逐渐走向衰老的过程,衰老是人类生命发展的自然规律,在整个生命活动中,机体细胞时刻处在新生细胞替代衰老退化细胞的过程中,即细胞更新。
当细胞更新的速度小于衰老速度时,就产生更新不足,新鲜的细胞补充不足,细胞无法被替换,一部分成体干细胞在基因的调控下进入休眠状态,细胞动态失衡,体内衰老的细胞越积越多,细胞总体发生老化,各个组织器官得不到及时的修复,生理功能就会逐渐衰退,表现为全身各个系统功能下降,代谢缓慢。
干细胞老化导致人体衰老这一自然现象,靠自身机体是无法改变的。干细胞的数量减少,自我更新和分化的能力下降,提示干细胞生理性衰老可能是人体衰老的重要原因之一。
衰老程度可通过外观、血液生化指标、脏器相关指标、行为学及分子生物学等多方面进行检测。如反映抗氧化能力的血清超氧化物歧化酶(SOD)活力、谷胱甘肽过氧化物酶(GSH—PX)活力,丙二醛含量等。SOD是机体内重要抗氧化酶之一,其活力和含量反映了机体清除氧自由基的能力。丙二醛能引起突变使细胞结构和功能被破坏,以此反映体内自由基产生和老化程度。血管内皮生长因子(VEGF)促进新生血管形成、抑制丙二醛生成并增强SOD活性而对抗衰老。所有这些因子的改变均由于其特定的功能细胞老化、功能下降,及没有足够的干细胞对其进行及时更新所致。
因此,抗衰老的策略也应考虑从整体水平改善功能,设法增加干细胞的数量,提高干细胞的自我更新和分化能力,活化体内休眠的干细胞是有效的方法。为此,通过干细胞移植抗衰老的治疗,可以提高整体的细胞再生能力,通过细胞再生、繁殖恢复组织和器官的正常生理功能,才能从根本上抑制衰老,延长生命时间,真正达到抗衰老的目的。
从分化功能上讲,移植越早期的干细胞,细胞分化能力就越强,更新速度就越快,因而从根本上改变人体内细胞的总体衰老。
干细胞移植抗衰老的临床疗效和安全性评价

2010年某三甲医院治疗小组,在间充质干细胞抗衰老作用的动物治疗中发现,干细胞移植组存活日期明显长于对照组,移植3个月后评价心功能的指标,心脾质量指数,器官组织学衰老程度评分结果以及血生化指标皆优于对照组,证实移植干细胞能有效地延缓衰老进程。
干细胞移植后各脏器呈现较衰老状态,具体表现在以下几个方面(如图)。

超声心动图显示对照组左室舒张期容积低于移植组

移植后对照组和移植组肺脏组织学对比
未移植干细胞的对照组肺气肿改变明显:气腔扩大,正常肺泡结构破坏

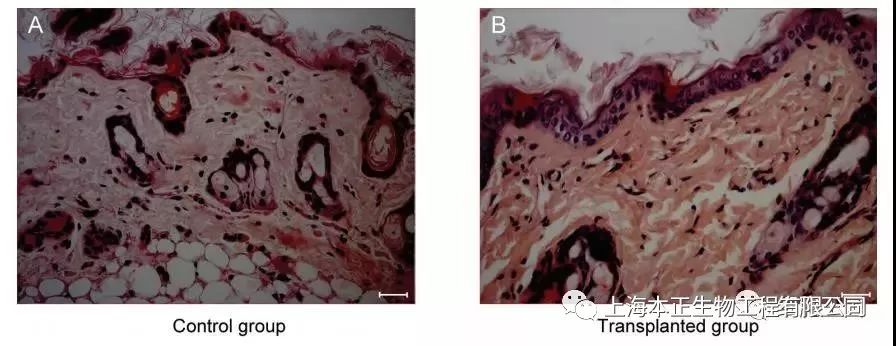
移植后对照组和移植组皮肤组织学对比
对照组皮肤表皮各层界限不清楚,真皮层成纤维细胞数量减少,胶原纤维变细,毛囊数明显减少,皮下脂肪层变薄;干细胞移植组表皮组织结构相对较完整,细胞分层较清晰。 通过整体水平、器官水平、组织细胞水平、蛋白质水平、分子水平,以及器官结构和功能方面的检测、数据分析,显示与对照组相比,间充质干细胞移植可以使存活天数延长,抗氧化能力以及免疫功能得到明显提高,延缓了各脏器组织学、结构和功能衰老进程,提示间充质干细胞移植有抗衰老作用。 2011年~2012年某三甲医院用干细胞治疗抗衰老50例,其中女38例,男12例,年龄在40~80岁,无慢性疾病史,采用静脉滴 注方式移植多能干细胞1.0×108。50例患者,术中无一例患者有不良反应,术后发热患者3例,体温最高达39℃嘱患者多饮水,症状可自行好转,无需特殊处理,24小时后可自行缓解。①外在变化:术后2~3天患者皮肤变光滑、润泽,肤色变白;1月左右细小皱纹减轻、变浅,面部色斑变淡;3月后,头发可出现增多、白转黑现象,皮肤开始变得紧致以及肌肉变得紧实,女性乳房、臀部变得紧致富有弹性。⑤食欲好转,腹胀、便秘现象减轻甚至消失,肠炎症状好转。⑥男性功能改善,前列腺肥大增生减轻好转,女性卵巢早衰患者月经的恢复,更年期症状的改善,女性乳房及臀部变得紧致有弹性,乳晕由黑转红现象。⑦代谢率提高,减肥不再困难,体态发生变化,肥胖的人身材变得苗条,脂肪重新分布,机体年轻态的恢复。⑧全面提高人体功能,改善人体退变现状,使机体保持青春活力和年轻状态。⑨3月后复查血清超氧化物歧化酶(SOD)活力测定均明显升高。 国家干细胞工程技术研究中心医学转化基地干细胞移植中心孙主任称:“干细胞技术是再生医学中最核心的医疗技术,它好比我们身体的某个器官组织受损之后能使其自我再生的细胞,形象地说就像壁虎断了尾巴之后能再生同一个原理”。通过对干细胞进行分离、体外培养、定向诱导、甚至基因修饰等过程,在体外繁育出全新的、正常的甚至更年轻的细胞,并最终通过细胞组织或器官的移植实现对临床疾病的治疗和抗衰老的目的,还可以广泛用于治疗传统医学方法难以医治的多种顽症,诸如白血病、早老性痴呆、糖尿病、中风、脊柱损伤和肝病等一系列目前尚不能治愈的疾病。 某三甲医院用脐带间充质干细胞治疗失代偿期肝硬化(终末期肝硬化),在输注了四次间充质干细胞后(四周一次),50周肝功明显改善。

并且,腹水改善明显。

治疗证实,间充质干细胞(MSC)治疗肝硬化的原理除了细胞分化外,更倾向于旁分泌作用。现在在肝病领域的得到很多专家承认,MSC归巢到肝部后,细胞分化进行组织修复的能力并不高,MSC转分化成肝细胞样细胞的效率很低(中间牵扯MSC的状态、分化效率、微环境以及免疫各种因素),但是MSC的旁分泌机制对肝功的恢复真的具有积极作用。具体作用可解释如图:

1、肝细胞样细胞转分化,2、免疫调节,3、营养因素,3、抗纤维化,4、抗氧化。
资料来自文献:Young Woo Eom. KJIM.2015
由此可见,应用干细胞技术抗衰老疗法,是很多传统方法无可比拟的,目前最多的抗衰老的方法也仪是针对抗衰老护肤,方法也很多如羊胎素注射、肉毒素注射、激素使用、护肤精华素的使用等手段,其主要原理是:避免皮肤老化的因素、使用抗氧化、抗自由基产品、使用促进皮肤细胞和皮下组织再生,在一定程度上有相近性,但都仅是局部的作用,而不是全身性的,不能预防和控制器官的衰老,而干细胞抗衰老技术具备了这样的特点。干细胞疗法就像给机体注入新的活力,是从根本上治疗许多疾病的有效方法。干细胞是一种未分化成熟的原始细胞,其细胞表面的抗原表达很微弱,患者的自身免疫系统对这种未分化细胞的识别能力很低,避免了器官移植引起的免疫排斥反应和过敏反应,同种异体干细胞移植变得很安全。

干细胞的所有制备过程都在层流无菌实验室内进行,排除任何细菌、病毒、微生物、粉尘的污染和侵害,无过敏、免疫排斥、形成肿瘤等不良反应或风险。通过干细胞注射治疗,还可以达到促进人体内分泌平衡,改善生理机能,令新陈代谢更加旺盛的效果。人到中年由于工作繁忙,身心压力沉重,体内的新陈代谢就进入了消极状态,除了人体各功能器官开始出现老化外,占人体体表面积最大的皮肤的变化是最显而易见的,尤其是女性,皱纹、色斑会根据个人体质而有所增加,使得面色枯黄无光。干细胞可调节内分泌、促进血液循环、增强细胞活力,使人的机体保持在一种积极的平衡状态中。
随着现代科学技术的发展,尤其是干细胞治疗的不断深入,通过输注干细胞抗衰老,是目前最为有效的抗衰老治疗手段。1998年,美国《科学》杂志将干细胞的治疗成果列在十大科学进展的首位。干细胞抗衰老是再生医学中最核心的医疗技术,它最显著的作用就是补充种子细胞替代衰老细胞。

上海本正干细胞技术有限公司提供的干细胞是从脐带、胎盘中提取的一种修复器官机理的未完全分化的原始细胞,具有自我更新、多项分化和高度繁殖的能力,医学上称为“万能细胞”,它是形成人体各种组织器官的起源细胞。干细胞对临床上一些疑难疾病的治疗如:脑瘫、老年痴呆、脑萎缩、帕金森病、中风、肝硬化、糖尿病、红斑狼疮、股骨头坏死、软骨和关节损伤、心脏和脊髓损伤等,取得显著效果,它拥有更加鲜活细胞能量,可以快速、有效进入体内,分泌多种有益细胞因子,调节体内微环境,激活干细胞再生能力,重启时光之门,追溯青春绽放源头,实现对人体衰老状态减缓,同时有效改善身体亚健康以及预防肿瘤发生。

|