


1、渐冻症的简介




2、MSC治疗ALS动物模型的研究


SOD1大鼠的脊髓运动神经元周围存在异常紊乱的腹角周围神经网(PNN)结构,显示出一些CSPG的蛋白和基因表达谱不同;经过MSC治疗后保留了PNN结构,并改变了CSPG的表达,表明CNS可塑性重新激活,与运动神经元的更好存活相关。
3、MSC治疗渐冻症的临床研究
由于在ALS啮齿动物模型中取得了可喜的结果,不同的临床试验评估了MSC在渐冻症患者中应用的安全性和疗效。为了评估疾病进展,修订的ALS功能评定量表(ALSFRS-R)可以衡量临床疾病的严重程度,是最常用的临床量表临床试验。
因为绝大部分临床研究采用靶向注射的方式,因此需要评估靶向注射MSC伴随而来的安全性。在MSC剂量递增(从1×107个细胞到2次1×108个细胞)靶向注射的临床研究中,最常见的不良事件是与最高剂量相关的暂时性下腰痛和腿痛。在记录最多的不良事件中,他们报告了头痛、发烧、呕吐,腿部、肋间和背部疼痛以及颈部僵硬,还有腿部感觉障碍,大多数不良反应是轻微的和可逆的。总的来说,静脉回输和靶向注射MSC均有较好的安全性,患者耐受性很好,随访期内没有记录到严重的不良反应,未见肿瘤形成。
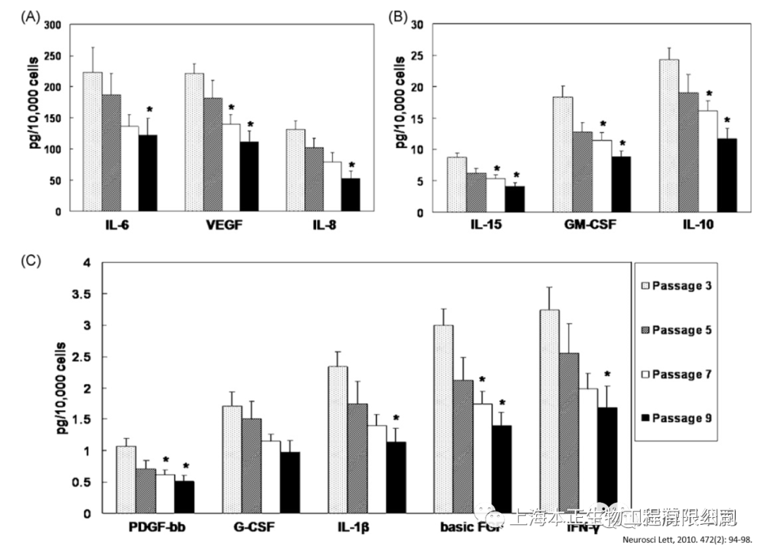
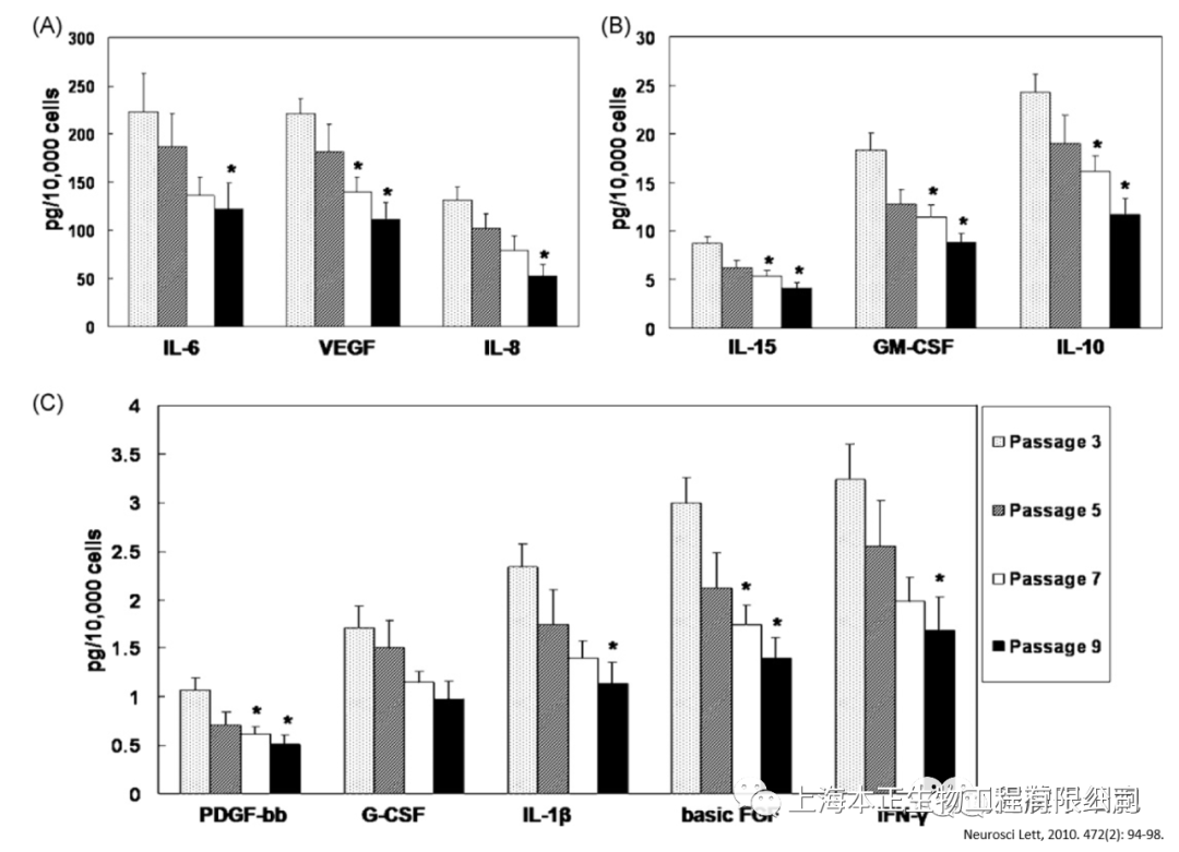
全球第一例MSC治疗渐冻症的临床报道是在2003年,意大利都灵大学神经内科团队开展的MSC腰穿局部注射治疗7例渐冻人,患者肌力在治疗前的6个月内全部下降,MSC治疗后第三个月4例患者肌力线性下降趋势明显减慢,2例轻度肌肉萎缩在治疗后出现肌肉力量的增加;无患者出现呼吸衰竭、死亡等重大不良事件,轻微不良反应为肋间疼痛放疗(4例),治疗后平均3天可恢复;腿部感觉障碍(5例),治疗后平均6周可恢复。随后该团队继续开展MSC靶向注射治疗渐冻症的临床研究,在随访的36个月,4例患者的FVC和ALSFRS评分线性下降明显减慢。该团队汇总之前的临床研究,开展的临床研究(10名渐冻症患者),MSC靶向注射的安全性较好,但是单次治疗的效果并不如意。继续观察MSC治疗渐冻症的效果,最长将近9年的随访时间,进一步肯定了长期安全性,但是也发现单次靶向注射MSC治疗渐冻症的长期效果欠佳。疗效很可能与该团队培养MSC的质量不佳有关,好多MSC鉴定细胞表型的指标不达标(见下图)。

以色列研究团队开展MSC治疗渐冻症的临床研究,19例患者接受MSC靶向注射,9名患者同时接受1次静脉回输,前6个月的观察中ALSFRS平均分数保持稳定,在MSC治疗后Treg细胞的数量短期内有所增加。该团队继续开展临床研究,其中有12名患者和2a期有14名患者(20-75岁),经过肌肉注射联合靶向注射MSC,大部分患者自我感觉改善良好,根据肺活量(FVC)和ALSFRS-R评分,这些患者治疗后6个月在疾病进展恶化速率方面至少有25%的改善。以色列和德国联合开展MSC(1x106/kg)治疗渐冻症的临床研究,共纳入48名患者,在1年的随访中,与对照组的9.7%相比,靶向注射MSC组和静脉回输MSC组分别有58.6%和40.6%的患者没有出现疾病的进展恶化。
韩国的团队开展MSC治疗渐冻人的临床研究,7名渐冻症患者进行2次的靶向注射MSC(1x106/kg),能减轻炎症水平,明显减缓渐冻症功能评定量表分数的下降幅度。随后该团队开展随机对照临床研究,64名渐冻症患者随机分组为单纯利鲁唑治疗组和利鲁唑联合MSC治疗组,利鲁唑联合MSC治疗组患者的ALSFRS-R评分的改善比较明显,但是奇怪的是,两组患者的长期生存率没有差异。该团队发现MSC高表达VEGF、ANG和TGF-β,则MSC治疗渐冻症容易出现病情改善(有应答),因此VEGF、ANG和TGF-β的表达水平可作为预测MSC治疗效果的潜在生物标志物。
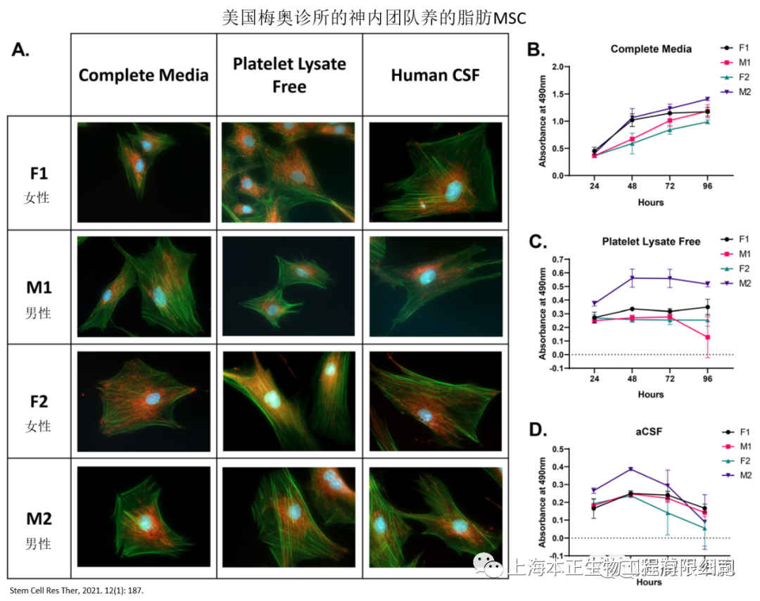
美国梅奥诊所开展27例MSC治疗渐冻症的临床研究,5种不同的剂量靶向注射MSC,最常见的不良反应是暂时性腰背痛和神经根痛,临床MRI显示腰骶神经根增厚与CSF蛋白和有核细胞升高有关,但是ALSFRS-R评分显示在所有接受治疗的患者都出现疾病的持续进展。

梅奥诊所的该团队研究MSC在人工脑脊液中培养后的形态、代谢和基因表达的变化,发现MSC在人工脑脊液中培养后表达更高的营养生长因子;靶向注射MSC治疗后,患者脑脊液中生长因子(VEGF、PIGF、GDF-15)的含量呈剂量依赖性增加。不过,从该团队从MSC的照片来看,MSC的胞体失去了典型的成纤维细胞样的梭形,胞体变得扁平宽大,说明MSC出现衰老和增殖缓慢(见下图)。

捷克科学院团队开展了一项前瞻性、非随机、开放性临床试验,以评估自体吐穗MSC治疗ALS的安全性和有效性;总共有26名患者接受了(15± 4.5)×106个MSC经腰椎穿刺进入脑脊液,约30%的患者出现轻度至中度头痛,ALSFRS评分在MSC治疗后3个月下降持续6个月(p<0.05),FVC值在9个月内保持稳定或高于70%。
波兰某研究团队开展脐带MSC靶向注射治疗渐冻症的临床研究,重点评价安全性,结果发现只有1例患者出现头痛的症状。随后该团队根据ALSFRS-R评分的月平均变化,对8名渐冻症患者进行MSC治疗(3次)的数据进行分析,结果发现在进展缓慢的渐冻症患者中,疾病进展率没有明显变化,但是对于病情进展较快的渐冻症患者,MSC治疗后病情会出现减慢。该团队开展脐带MSC治疗渐冻症的67例对照临床研究,所有患者接受三次脐带MSC靶向注射(每2个月一次),剂量为30×106个细胞。采用ALSFRS-R量表对患者进行评估,治疗组的中位生存时间增加了两倍,49.3%的患者出现疾病无进展,31.3%的患者进展率下降,19.4%的患者没有应答效果。
综上所述,开展MSC治疗渐冻症的国家就有意大利、以色列、韩国、美国、捷克、波兰。

4、小结
动物实验和临床研究证明,MSC可能是治疗ALS的一种安全有效的方法,能延缓了疾病的发生和发展,并延长了治疗动物的寿命。
但是,目前的临床研究方案只涉及1-2次的MSC治疗,所以在一定程度上导致MSC治疗ALS的临床评分只有部分改善。既然动物实验有效,临床治疗部分患者也有效,那么接下来就是研究如何做到更有效。为了获得更显著的结果和更好地了解潜在的MSC的作用机制,有必要进行治疗方案的优化和提高MSC的培养质量。
上海本正生物工程有限公司提供的干细胞是从脐带、胎盘中提取的一种修复器官机理的未完全分化的原始细胞,具有自我更新、多项分化和高度繁殖的能力,医学上称为“万能细胞”,它是形成人体各种组织器官的起源细胞。干细胞对临床上一些疑难疾病的治疗如:脑瘫、老年痴呆、脑萎缩、帕金森病、中风、肝硬化、糖尿病、红斑狼疮、股骨头坏死、软骨和关节损伤、心脏和脊髓损伤等,取得显著效果,它拥有更加鲜活细胞能量,可以快速、有效进入体内,分泌多种有益细胞因子,调节体内微环境,激活干细胞再生能力,重启时光之门,追溯青春绽放源头,实现对人体衰老状态减缓,同时有效改善身体亚健康以及预防肿瘤发生。

|