设为首页 加为收藏 联系我们
当前时间:
咨询热线:400-1010-468  
http://www.shbzsw.com.cn  
E-mail:SHBZSW@163.COM  
地址:上海市世贸大厦
行业新闻 您的当前位置:首页 -> 新闻中心 -> 行业新闻  
 
干细胞让糖尿病患者摆脱胰岛素注射
发布时间:2023-02-20 文章来源:本站  浏览次数:1077

图片

  // 前言 //  

图片
糖尿病最怕的就是各种并发症,大大小小的高达100多种,是目前已知并发症最多的一种疾病。而且糖尿病并发症大多都是渐进性发展,因而会让患者饱受折磨。
以现在的医学水平,尚且无法治愈糖尿病。一旦得病,只能终身吃药或打胰岛素。干细胞技术被认为是未来攻克糖尿病最有前景的方向之一。
2021年5月,Mass General Brigham评选出了第六届细胞与基因疗法“颠覆性技术”Top12,认为这些技术将在未来几年内对医疗健康产生重要的影响。其中不断取得突破性进展的“干细胞疗法治疗糖尿病”技术位列其中,同时还包括细胞基因疗法干预帕金森、通用型CAR-T疗法等。
图片
2021年7月国际知名学术期刊《STEM CELLS Translational Medicine》(中文:《干细胞转化医学》)发表了一项临床研究,研究者完成的一篇题为“利用干细胞来干预II型糖尿病”的研究论文
图片
研究发现,干细胞干预II型糖尿病安全且有效,将为糖尿病患者带来新的希望。

01

胰岛素只能延缓无法逆转

糖尿病是一种以高血糖为特征的慢性代谢疾病,当胰腺产生不了足够的胰岛素或者人体无法有效地利用所产生的胰岛素时,就会出现糖尿病。据IDF数据显示,我国是糖尿病高发大国,患病人数位居世界首位,全世界患病数量为4.63亿,我国占据1.164亿,其中,近25%的糖尿病患者并发糖尿病足
近年来,随着全球糖尿病的患病人数不断攀升,糖尿病全球年平均增长率为51%,按照这个趋势,预计到2045年全球将有7亿糖尿病患者
图片
现有的降糖药物,包括胰岛素,主要用于控制高血糖和延缓并发症的发展,并不能有效逆转胰岛β细胞的进行性减少和衰竭。促进胰岛β细胞再生和恢复内源性胰岛素分泌可能是治疗糖尿病的理想方法。
干细胞干预糖尿病的策略之一就是使干细胞分化成可以分泌胰岛素的胰岛样细胞
图片
间充质干细胞具有自我更新,多向分化和细胞因子分泌的能力。间充质干细胞可分化为产生胰岛素的细胞,其分泌胰岛素以葡萄糖依赖性方式。此外,间充质干细胞可以迁移到受损的胰岛,重塑微环境,使其适合内源性胰岛细胞的增殖和功能恢复,从而修复受损的胰岛功能

02

干细胞治疗II型糖尿病,总有效率68%

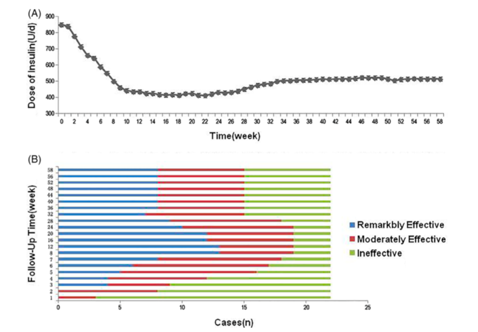
该项研究纳入了上海长海医院内分泌科2018年5-8月收治的24例II型糖尿病患者,治疗期为6周。在此期间患者接受3次间充质干细胞(SMSCs)静脉回输。入组时进行第一次回输,第二次和第三次回输分别在第一次输注后 1 周和 4 周。每次干细胞输注的剂量计算为1×106个/kg。第三次干细胞回输后 1、2、3、6、9 和 12 个月进行随访。共有22名患者完成了该项研究。

图片

结果显示,胰岛素日剂量在治疗期内显着降低,治疗期结束时较基线降低35.34%。在随访期间,胰岛素的日剂量进一步减少。与基线水平相比,治疗期结束后3、6、9个月胰岛素日剂量分别下降51.18%、43.39%和39.39%。之后,剂量相对稳定,没有明显减少。
到研究结束时,总有效率为 68.18%(19/22),其中3名患者已停止注射胰岛素(图B)。在其他4名患者中,胰岛素注射频率也比基线时有所降低。

图片

通过相关性分析发现,干细胞治疗前血糖水平与疗效相关;也就是说,HbA1c <8.5% 的入组患者在干预后显着降低了每日胰岛素剂量
患者干预前胰岛功能状态与治疗后胰岛功能恢复程度密切相关,FCP>1.7 ng/mL、P2hCP>3 ng/mL的患者在干预后胰岛功能恢复较好
图片
此外,干细胞干预前 TC <5 mmol/L 或 TG ≤1.5 mmol/L 或 LDL-C < 3.2 mmol/L 的患者每日胰岛素剂量显著降低,这表明血脂水平也与干细胞干预效果有关
该项研究对干细胞技术的安全性也进行了观察。低血糖是研究期间最常见的不良事件。在干预期间,所有 24名患者的低血糖频率均有所增加,并达到每名患者每周 0.51次的峰值。在随访期间,所有22名患者的低血糖频率均显着降低。
图片

03

结论

结论:上述研究结果表明,脐带来源间充质干细胞回输是一种安全有效的改善2型糖尿病患者糖代谢和胰岛功能的技术血脂水平和基线胰岛功能可能是影响2型糖尿病患者患者间充质干细胞回输结果的关键因素。干细胞技术将为糖尿病患者带来痊愈的希望。

图片

       干细胞是从脐带、胎盘中提取的一种修复器官机理的未完全分化的原始细胞,具有自我更新、多项分化和高度繁殖的能力,医学上称为“万能细胞”,它是形成人体各种组织器官的起源细胞。干细胞对临床上一些疑难疾病的治疗如:脑瘫、老年痴呆、脑萎缩、帕金森病、中风、肝硬化、糖尿病、红斑狼疮、股骨头坏死、软骨和关节损伤、心脏和脊髓损伤等,取得显著效果,它拥有更加鲜活细胞能量,可以快速、有效进入体内,分泌多种有益细胞因子,调节体内微环境,激活干细胞再生能力,重启时光之门,追溯青春绽放源头,实现对人体衰老状态减缓,同时有效改善身体亚健康以及预防肿瘤发生。

图片

上一篇: 干细胞治疗腰椎间盘突出,镇痛效果显著
下一篇: 盘点 | 干细胞疗法的10大适应症及其临床案例
关于我们  |  公司掠影  |  新闻中心  | 联系方式  |  在线留言
版权所有 Copyright(C)2015-2016 上海本正清源干细胞科技集团有限公司