设为首页 加为收藏 联系我们
当前时间:
咨询热线:400-1010-468  
http://www.shbzsw.com.cn  
E-mail:SHBZSW@163.COM  
地址:上海市世贸大厦
行业新闻 您的当前位置:首页 -> 新闻中心 -> 行业新闻  
 
干细胞质量三个重要指标:来源、活性、存活率
发布时间:2024-07-26 文章来源:本站  浏览次数:541

图片

在当代科技迅猛发展的背景下,干细胞作为一种前沿技术备受瞩目。然而,要确保其在治疗和研究中的安全和有效性,高质量的干细胞至关重要。而“高质量”并非仅仅取决于单一指标,而是由多重因素共同影响。

图片
图片
细胞的来源是影响其质量的首要因素之一。不同的细胞来源可能会影响其遗传特性、稳定性以及功能表达。因此,在选择干细胞时,必须考虑其来源的质量和适用性,以确保所选细胞具有最佳的治疗潜力。
细胞的活率和生长活性也是评估干细胞质量的重要指标。活率高的细胞更有可能在治疗后存活并发挥作用,而生长活性则反映了细胞的增殖和分化能力。因此,高质量的干细胞应当具有较高的活率和活性,以确保其在体内能够有效地实现治疗效果。
图片

细胞来源

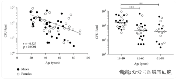
想要获得高质量的干细胞,细胞来源的尤为重要。随着人类的衰老,细胞的活力也是会逐渐减弱的,无论你是选择了异体回输还是“自给自足”,细胞供者本身的年龄及身体状况都会对细胞质量产生影响。2019年,英国利兹大学的科研团队就采集了67名健康供体(19-89岁)的间充质干细胞,通过体外培养的方式证实了:年轻人的干细胞数量和增殖能力显著高于老年人。
图片
△培养基中培养14天后,年轻组(19-40),中年龄组(41-60)和老年组(61-89岁)的干细胞计数对比
图片
△年轻态的干细胞胞体饱满、呈明显的梭形;衰老的干细胞胞体宽大扁平
从年龄这个因素考虑,有零岁细胞之称的胚胎组织来源或类胚胎如脐带/胎盘间充质干细胞应该是最优解。首先供体必须经过检验筛查证明无人源特定病毒(包括HIV、HBV、HCV、HTLV、EBV、CMV等)的感染,无梅毒螺旋体感染。
其次除了病毒感染,许多疾病也会影响间充质干细胞的功能及效果如遗传性疾病、自身免疫性疾病和部分慢性疾病等。以常见的糖尿病为例,2021年9月刊登在《STEM CELLS TRANSLATIONAL MEDICINE(干细胞转化医学)》上的一项研究证实:长期患有2型糖尿病会降低干细胞的增殖能力、免疫抑制潜力及存活率。
图片
△健康组(第1组)和2型糖尿病患者的自体间充质干细胞(MSCs)的表征对比(糖尿病持续时间:第2组:<5年,组3:5-10年,第4组:>10年)
尽管干细胞治疗2型糖尿病的具有潜在治疗效果,但一些患者使用自体干细胞进行治疗却得到矛盾的结果,这是由于疾病影响了患者自体干细胞的分子和细胞特征,特别是代谢活动和线粒体DNA的改变。因此,当你患有糖尿病超过10年时,采用自体干细胞进行治疗就不是一个明智的选择。

细胞活性

细胞生长活性其实有着许多评定标准,如细胞倍增时间、细胞周期、克隆形成率、端粒酶活性等等,而这些指标都被“细胞代次”所影响着。细胞代次指的是干细胞在体外培养中的传代次数,一般刚从脐带、胎盘、羊膜等提取的干细胞是原始P0代,传一代是P1代干细胞,并以此类推。在此过程中,还有一个关键特性:即干细胞的生物学效力和增殖特性,会随着传代次数的增加逐渐下降。
图片
△图a代表P3代,图b代表P8代
那按照这个逻辑,如果我们想追求高活性,只要使用刚从组织中分离出来的P0代干细胞不就行了吗?事情没有那么简单。
首先,细胞代次并不宜低于3代。处于这个代次的干细胞确实活性很高,可惜的是,它还没能经过足够的体外培养、扩增,这样可能导致:
一、细胞总数量不够。我们能看到在过往的干细胞临床试验里,干细胞量几乎都是千万级以上的,而P0-P3代次的干细胞才刚刚开始培养,干细胞含量客观来说很低,很有可能达不到使用标准。哪怕它各项活性都很好,也巧妇难为无米之炊。
二、细胞安全性不够。培养时间短,也意味着来不及进行彻底净化,其中可能残留提取过程中感染的细菌、病毒、微生物等有害物质尽管这些代次的干细胞有很高的活性,但于安全角度,却十分堪忧。
这两点是不能用前3代的原因,我们再来看看不必执着前3代的理由。
从各代干细胞生长曲线检测结果来看,P4-P7代的数据其实也都在高活性范围之内,并未与前3代细胞形成断层差距,所以总结所有优势与缺点,P0-P3代细胞并不是优选。
图片
△体外培养P3/5/7/10/15代细胞的生长曲线
其次,细胞代次不宜高于7代。P7代之后的干细胞,算是经过了足够的培养扩增,这细胞数量是上去了,但质量也是断崖式下跌。有研究表明,P7代次之后,干细胞增殖能力及遗传稳定性急剧下降,细胞凋亡的数量也很可怕,到了P15代晚期,凋亡细胞数量直奔50%
图片
△FITC Annexin V Apoptosis Detection Kit I 检测不同代次细胞的凋亡差异情况
所以在兼顾数量、安全及干细胞活性三方因素后,P3-P7代次的干细胞会是最佳选择。

细胞存活率

当干细胞回输到体内,只有活着的干细胞能真正起到修复或治疗的作用,失活细胞不仅有碍有效性,还可能会引发机体毒性反应。所以细胞活率不但关乎细胞质量,更涉及人体自身的安全。也正因如此,国内监管对于干细胞产品活率要求较高,通常要≥90%。
图片
△细胞计数仪里显示干细胞存活率
除了干细胞本身的活性外,存储、运输条件也会影响细胞活率。如果存储或运输条件不合格,则可能导致细胞死亡、细胞膜破裂及内容物释放等,不但起不到治疗效果,反而会导致不良事件的发生。另外,细胞的治疗方式也对细胞活率有一定影响,如输注速度过慢,耗时过长,则有可能出现细胞死亡,增加不良事件发生的风险。

细胞存活率

随着干细胞技术的日益成熟,国家也在不断完善干细胞质量管控体系,整个行业正向着规范化、更加长远地利于临床转化的方向发展。相信在未来,一份高质量干细胞,将通过临床治疗表现,让更多人们可以切身体会到干细胞的神奇。
图片

       干细胞是从脐带、胎盘中提取的一种修复器官机理的未完全分化的原始细胞,具有自我更新、多项分化和高度繁殖的能力,医学上称为“万能细胞”,它是形成人体各种组织器官的起源细胞。干细胞对临床上一些疑难疾病的治疗如:脑瘫、老年痴呆、脑萎缩、帕金森病、中风、肝硬化、糖尿病、红斑狼疮、股骨头坏死、软骨和关节损伤、心脏和脊髓损伤等,取得显著效果,它拥有更加鲜活细胞能量,可以快速、有效进入体内,分泌多种有益细胞因子,调节体内微环境,激活干细胞再生能力,重启时光之门,追溯青春绽放源头,实现对人体衰老状态减缓,同时有效改善身体亚健康以及预防肿瘤发生。

图片


上一篇: 干细胞治疗糖尿病足,让患者远离截肢风险!
下一篇: 急性肾衰竭患者接受干细胞治疗后,直言“感觉好多了”
关于我们  |  公司掠影  |  新闻中心  | 联系方式  |  在线留言
版权所有 Copyright(C)2015-2016 上海本正清源干细胞科技集团有限公司