|
阿尔兹海默症(Alzheimer's Disease, AD)作为最常见的神经退行性疾病,主要表现为认知功能衰退、行为异常及日常生活能力丧失,严重影响患者的认知功能和生活质量。传统药物(如胆碱酯酶抑制剂)仅能延缓症状,无法逆转病理进程,亟需突破性治疗手段。

近年来,干细胞外泌体(Exosomes)作为细胞间通讯的关键载体,凭借其低免疫原性、高效递送及组织修复能力,成为AD治疗领域的研究热点。其中,鼻滴给药途径因其能绕过血脑屏障(BBB),直接将外泌体输送至中枢神经系统,显著提升药物生物利用度,展现出巨大临床潜力。
ahaMSC-Exos鼻内给药治疗AD国际首试获安全有效验证
上海合作医院王刚教授团队完成并发布采用间充质干细胞来源的外泌体喷鼻治疗阿尔茨海默病的国际首个临床试验(Clinical Trial NCT04388982),该研究成果发表于General Psychiatry。
为了探索ahaMSC-Exos的临床应用及治疗的可能性,王刚教授团队开展了国际首个外泌体喷鼻治疗AD临床试验,验证其在轻度至中度AD患者中通过鼻内给药的安全性和有效性。
该研究分为三个剂量组:低剂量组(2×108),中剂量组(4×108),高剂量组(8×108),采用“3+3”试验设计,筛选合格的受试者依次分配至不同的剂量组,干预期为期12周,每周2次鼻内给药,并在第12、16、24、36和48周进行随访。
所有受试者未报告不良事件,安全性评估指标(包含生化检验等)无明显异常。与基线相比,中等剂量组受试者ahaMSC-Exos评分在第12周下降了2.33(1.19),MoCA-B评分增加了2.38(0.58),表明认知功能有所改善。此外,中等剂量组受试者ahaMSC-Exos评分至第36周持续下降3.98分。特异示踪剂标记的PET-MRI显示三个剂量组间淀粉样蛋白或tau沉积改变无显著差异,但中剂量组海马萎缩程度较轻。
结果表明,ahaMSCs-Exos经鼻内给药治疗AD是安全的,至少可选择4×10^8剂量进行更大规模的多中心临床试验。
日本研究证实干细胞外泌体鼻腔给药改善阿尔兹海默症认知且安全
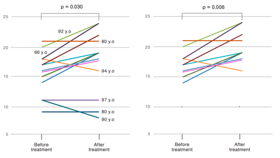
在一项日本开展的研究探中,探讨了干细胞外泌体鼻腔给药应对阿尔兹海默症的安全性和临床效果。
研究团队共选取了13名患阿尔兹海默症的受试者,通过鼻腔给予间充质干细胞外泌体,每周3次,持续8周;在研究前后,对受试者进行了HDS-R评分、血液检查、激素水平测量以及MCI筛查测试等多项评估。
研究进行8周后,受试者的HDS-R评分从15.6分提高到17.5分,显示出显著的认知功能改善。特别是在轻度至中度的受试者中,评分从17.2分提高到20.0分,效果更为显著。
此外,血液检查显示,受试者的血小板数量减少,白蛋白/球蛋白比例增加,低密度脂蛋白/高密度脂蛋白比例下降,这些变化可能与外泌体对代谢的调节作用有关。MCI筛查测试还发现,与阿尔兹海默症相关的载脂蛋白A-1(ApoA1)水平显著增加,ApoA1被认为能够抑制β淀粉样蛋白(Aβ)的聚集和毒性,从而改善认知功能。
在安全性方面,整个研究过程中,13名受试者均未出现与研究相关的严重不良反应。鼻腔给药干细胞外泌体显示出良好的安全性,受试者的生活质量得到了显著提升。
干细胞外泌体经鼻给药为阿尔兹海默症治疗开辟了新路径,从实验室到临床的转化之路虽充满挑战,但每一例成功案例都为患者带来了曙光。让我们共同期待这一创新疗法早日造福更多患者!
|