设为首页 加为收藏 联系我们
当前时间:
咨询热线:400-1010-468  
http://www.shbzsw.com.cn  
E-mail:SHBZSW@163.COM  
地址:上海市世贸大厦
行业新闻 您的当前位置:首页 -> 新闻中心 -> 行业新闻  
 
健康无病时,为何要补充干细胞和免疫细胞?
发布时间:2025-10-13 文章来源:本站  浏览次数:163


健康城堡的守护者:干细胞与免疫细胞

当我们谈论健康时,往往聚焦于 “对抗疾病”,却忽略了 “预防衰老” 的底层逻辑。就像一座坚固的城堡需要日常维护,人体的健康也依赖于两大 “守护者”—— 干细胞与免疫细胞。它们一个是修复损伤的 “再生工程师”,一个是抵御外敌的 “免疫军团”,在疾病萌芽前就已默默布局防御。


干细胞:身体里的 “修复大师”

干细胞如同人体的 “万能细胞”,拥有自我更新与分化能力,是组织器官的 “再生源泉”。当皮肤受伤、器官功能衰退时,它会像施工队一样迅速调动 “修复资源”,替换受损细胞。

随着年龄增长,干细胞会逐渐衰老:数量减少、活性降低,进而导致皮肤松弛、伤口愈合变慢、器官功能下降等现象。亚健康状态会激活炎症通路,抑制干细胞的抗氧化能力,增加其早衰风险。因此,只有提前干预,才能改善肤质、保护心血管、延缓关节退化,从根源维持身体的年轻态。


免疫细胞:体内的 “智慧军队”

免疫细胞是人体的 “安全卫士”,既能抵御细菌病毒,又能清除体内异变细胞。但岁月会让这支军队 “战斗力衰退”:免疫细胞数量减少、识别能力下降,导致老年人更容易生病,且患癌风险增加。

这支 “军队” 分工明确:T 细胞是精准指挥的 “将领”,NK 细胞是快速出击的 “突击队”,巨噬细胞则是清理垃圾的 “环卫兵”。当它们衰老时,身体就像失去了护城河,慢性病与衰老症状会逐渐显现。


两大守护者的 “衰老危机”

人体衰老的重要标志之一,就是干细胞耗竭与免疫细胞功能衰退。就像工厂产能下降、军队装备老化,当这两大系统功能减弱,身体的自我修复与防御能力会大幅降低。此时即便表面健康,内在的 “防御漏洞” 已悄然形成。


根据最新研究证实:通过将NK细胞与脐带来源的间充质干细胞(MSCs)共培养,可在短短24小时内大幅提升其活性与细胞毒性,杀死近90%的癌细胞!这项成果不仅重塑了人们对NK细胞疗效的认知,更有望开启细胞免疫疗法的新纪元。

图片





NK细胞+干细胞=?






1

间充质干细胞(MSCs)是一类从脐带的特定部分,即基底蜕膜层中提取的特殊细胞,它们被认为具有多种治疗上的好处,比如减轻炎症、帮助身体组织愈合等。

NK细胞,作为我们身体免疫系统中的“守护者”,它们能够快速识别并清除那些被病毒侵害或者已经癌变的细胞。那么,当这两种细胞相遇时,它们会擦出怎样的火花呢?

就在10月30日,来自瑞典和沙特的研究团队在学术期刊《细胞与发育生物学前沿》上发表了一篇名为“胎盘基底蜕膜间充质干细胞/基质细胞增强人类自然杀伤细胞的抗癌特性”的研究文章。这项研究揭示了一个有趣的现象:间充质干细胞能够提升自然杀伤细胞对抗癌症的能力。

图片

实验室发现

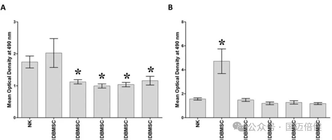
在实验室里,科学家们把从脐带中提取的MSCs细胞和从血液中分离出来的NK细胞放在一起培养。他们发现,当NK细胞处于休息状态时,MSCs的存在会让它们的增长变慢;但如果NK细胞被一种叫做IL-2的物质激活后,它们的生长速度就会变得更快。这个发现告诉我们,MSCs对NK细胞的活动有着很细致的影响和调控作用。

图片

1、未活化NK细胞的增殖被抑制:当未活化的NK细胞与MSCs共培养时,其增殖能力显著下降。实验显示,在NK细胞和MSCs的比例从1:1到100:1的条件下,未活化NK细胞的增殖分别下降了20%到60%不等。

2、活化NK细胞的增殖和活性增强:相比之下,IL-2激活的NK细胞在与MSCs共培养后,其增殖能力在低比例(1:1)的条件下增加了约30%,并在表面表达出更多抗癌关键受体(如CD69和NKG2D)。这类受体是NK细胞识别并杀伤癌细胞的核心。



24小时消灭90%癌细胞






1

最新实验研究表明,在干细胞的调控作用下,NK细胞的杀伤能力显著增强,仅在24小时内便能消灭近90%的癌细胞!该数据来自一项针对乳腺癌(MCF-7)和肺癌(A549)细胞的体外实验,具体结果如下:

实验进行6小时后,癌细胞死亡率达45%

12小时内,死亡率上升至72%

24小时后,死亡率高达89%

相比之下,未经干细胞调控的普通NK细胞,在相同时间段内的杀伤率仅维持在约50%左右。

研究人员进一步分析发现,这种显著差异的背后机制在于,干细胞能够促进NK细胞分泌更多的IFN-γ和TNF-α,从而显著提升其抗癌能力。这一突破性的研究成果为细胞治疗在临床中的应用提供了坚实的科学基础,也为癌症患者带来了新的希望。



未雨绸缪:给健康上份 “长期保险”

·补充干细胞:如同为身体注入 “再生能量”,激活组织修复能力,改善亚健康状态,延缓器官衰老进程。

·回输免疫细胞:相当于给免疫系统 “升级装备”,增强对病原体、衰老细胞的清除能力,降低患病风险。

这种干预并非 “有病才治”,而是在健康峰值期提前回输 “生命资源”。就像定期给城堡加固城墙,在细胞层面维持身体的最佳状态,让健康成为生活的常态而非奢望。


健康是场 “长期主义” 的修行

真正的健康管理,不是等到疾病发生才匆忙应对,而是从细胞层面做好 “抗衰规划”。干细胞与免疫细胞的补充,本质是对生命质量的主动投资 —— 让我们在岁月中保持活力,将健康的主动权握在自己手中。

干细胞与 NK 细胞的联姻,标志着癌症治疗从「单一武器对抗」迈入「生态系统重构」的新纪元,MSCs 通过精密调控 NK 细胞的活化、增殖与归巢,将原本孤立的免疫应答转化为协同网络。

尽管前路仍有荆棘,但这项研究无疑为实体瘤治疗点燃了希望之火——当「种子」与「战士」携手,攻克癌症的终极之战或将迎来破晓之光。

图片
图片
图片

上一篇: 干细胞疗法让巨细胞病毒肺炎患者生存率优于对照组
下一篇: 干细胞修复中风患者受损神经,促进运动功能恢复
关于我们  |  公司掠影  |  新闻中心  | 联系方式  |  在线留言
版权所有 Copyright(C)2015-2016 上海本正清源干细胞科技集团有限公司