4月1日,国家卫健委发布干细胞治疗新规,正式将“干细胞研究与器官修复”纳入国家重点研发计划。
9月4日,卫健委更是正式答复支持横琴粤澳深度合作区开展干细胞技术的“先行先试”及转化应用。
从“十四五”到“十五五”,干细胞等前沿生物技术都被视作国家重点发展方向。科研人员正加速技术临床转化,让更多2型糖尿病等难治病患者获益。
今年10月,发表于国际期刊《Tissue & Cell》上的一项伞式综述,分析了17篇系统综述,囊括了8000多名糖尿病患者,有力证实了干细胞在恢复血糖平稳、减少药物用量、改善胰岛功能中的作用。核心数据如下:
干细胞凭借“修复+调节”作用,为2型糖尿病带来“功能性治愈”的希望:
-
修复损伤:定向分化为胰岛β细胞,直接补充受损的胰岛素分泌细胞。
-
改善功能:调节胰腺微环境,减轻炎症,保护剩余β细胞。
-
缓解抵抗:修复胰岛素信号通路,增强机体对胰岛素的敏感性。
-
根源干预:从细胞层面恢复胰岛功能,突破传统治疗“治标不治本”的局限。
央视曾报道两例经干细胞治疗后,血糖恢复正常的真实案例,直观验证了干细胞的疗效。根据2025年4月国际糖尿病联盟官网发布的最新数据,截至2024年全球20–79岁糖尿病患者已达5.89亿,其中我国患者数量居首,约为1.48亿。预计到2050年,全球患者总数将增至8.53亿。
对于糖尿病患者而言,“控糖” 是终身战役 —— 每日监测血糖、按时注射胰岛素、严格控制饮食,却仍难逃并发症风险。但随着再生医学的突破,间充质干细胞(MSCs) 正打破传统治疗的局限,从 “控制血糖” 转向 “修复胰岛”,为糖友带来新希望。
2025年10 月,一项来自国际期刊 《Tissue & Cell》 的综述,对近年所有涉及“间充质干细胞(MSC)治疗糖尿病”的临床证据进行了系统梳理——共纳入17篇系统综述与Meta分析,涵盖8000多名患者。
研究结果表明:MSC治疗与血糖更平稳、胰岛素用量下降、代谢指标全面改善密切相关。在2型糖尿病(T2DM)人群中,这种改善尤为突出,呈现出“控糖更稳、波动更小、胰岛素依赖更轻”的趋势。
这篇综述给出了几组值得关注的数据:
-
HbA1c(糖化血红蛋白)平均下降约 1.45 个百分点,提示长期血糖水平显著改善;
-
日均胰岛素用量下降约 2.05 U/kg,部分患者对外源性胰岛素的依赖明显减少;
-
C-肽水平提升,意味着胰岛β细胞功能活性被“唤醒”;
-
2型糖尿病(T2DM)组改善更为一致,而在1型糖尿病(T1DM)中也观察到代谢平衡的积极变化;
-
不同来源MSC效果存在差异,脐带来源效果较优。
治疗理念升级:
从 “控制指标” 到 “系统修复”
传统糖尿病治疗以 “控制血糖指标” 为核心,通过药物、胰岛素强制压低血糖,却无法阻止胰岛功能的持续衰退。而间充质干细胞的独特优势在于:
免疫调节:缓解糖尿病患者体内的慢性炎症,为胰岛细胞创造良好的修复环境;
组织修复:直接修复受损的胰岛β细胞,或分化为新的胰岛细胞,重建机体自身的控糖系统;
全身调理:改善患者的代谢紊乱,不仅修复胰岛,还能同步改善血脂、血压等相关代谢指标。
这种 “系统修复” 的治疗理念,标志着糖尿病治疗正从 “被动控糖” 向 “主动修复” 转变,而干细胞正是这场变革的核心力量。
在全球干细胞治疗糖尿病的浪潮中,我国科研团队已实现从基础研究到临床应用的跨越式发展,多项成果达到国际领先水平,更有真实案例见证技术力量。
早在2022年,国内医院对于脐带间充质干细胞临床治疗中国成人2型糖尿病的研究试验的结果已表明:通过静脉输注给予脐带间充质干细胞(UC-MSCs)是一种安全有效的方法,可以减少外源性胰岛素需求,缓解2型糖尿病患者的胰岛素抵抗。脐带间充质干细胞是2型糖尿病的潜在治疗选择。
项目采用双盲、随机、安慰剂对照设计。符合资格标准的患者随机分配接受三次静脉输注脐带间充质干细胞(100mL)或相同体积外观的安慰剂,输注脐带间充质干细胞数为1×10^6/kg,每次间隔4周。出院后,每12周随访患者,并要求患者在随访期间内每天都进行自我血糖监测(每周≥15次,包括5点曲线)。
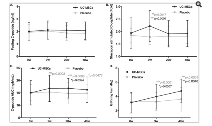
临床研究结果显示,与安慰剂组相比,人脐带间充质干细胞(UC-MSCs)组有更多的患者达到主要终点。即在干预后48周,脐带间充质干细胞(UC-MSCs)组20%的患者实现了糖化血红蛋白(HbA1c) 水平<7.0%和每日胰岛素减少≥50%的目标,而安慰剂组为4.55%(p < 0.05)如下图。
细胞干预组13.5% (5/37)的患者在使用人脐带间充质干细胞(UC-MSCs)全身输注调理后8-24周(12±7.6周)达到不再使用胰岛素水平,并在37.2±15.2周内保持无胰岛素水平,没有再次使用。安慰剂组中没有一名患者脱离胰岛素。简单来说就是细胞干预组中有5人在干细胞调理后10到13个月的随访时间内摆脱了胰岛素依赖。
人脐带间充质干细胞(UC-MSCs)输注后HbA1c水平下降,在细胞干预调理后9周观察到最大下降,在随访的20、32和48周略有上升,不过仍然低于基线值。在48周时,脐带间充质干细胞(UC-MSCs)组的HbA1c水平下降了1.31%,而对照组仅下降了0.63%(p=0.0081),这些结果表明,UC-MSCs输注调理2型糖尿病具有积极潜力。
UC-MSCs或安慰剂治疗后的胰岛素需求和HbA1c水平
脐带间充质干细胞(UC-MSCs)组中胰高血糖素刺激的C肽水平的倍数变化在9周时增加,在20周和48周时逐渐降低,虽然最终细胞干预组的C肽水平在试验期间没有显著变化,但是安慰组的C肽水平在试验期间一直在持续下降。
UC-MSCs或安慰剂治疗后的胰岛 β 细胞功能和胰岛素抵抗
另外,HEC(高胰岛素正葡萄糖钳夹,胰岛素抵抗金标准)结果显示:输注人脐带间充质干细胞(UC-MSCs)调理有效降低了T2DM患者的胰岛素抵抗。UC-MSCs组的葡萄糖输注速率(GIR)显著增加(从3.12 到4.76 mg/min/kg,p<0.01),而安慰剂组未观察到显著变化(从3.26到3.60 mg/min/kg,p˃0.05;两组之间p<0.01)。
简单来说,该项研究的结果清晰醒目:
-
UC-MSC 组达到“HbA1c<7% 且日胰岛素减少≥50%”的比例 20%(对照 4.55%);
-
HbA1c 平均下降 1.31%(对照 0.63%);
-
胰岛素敏感性(GIR)显著提升,代谢状态更趋平稳。
这些临床数字,把“稳控血糖、减少胰岛素”的想法落到了实处。
随着间充质干细胞(MSC)应用于糖尿病治疗,医学关注的焦点正逐渐从“血糖数值”转向“系统修复”。这意味着:
未来治疗不再依赖单一药物,而是形成“细胞干预+药物调控+生活方式管理”的整合策略;医生的评估体系也将从仅关注糖化血红蛋白(HbA1c),扩展至血糖达标时间(TIR)、血糖波动幅度(GV)以及并发症发展速度等多维度指标;在代谢性疾病与再生医学融合的今天,干细胞技术正为糖尿病提供一种更为平衡的治疗路径。
对患者而言,这意味着获得长期稳定改善的新机遇;
对医生而言,这代表着代谢疾病管理工具的革新;
对整个医学领域而言,这标志着再生医学与糖尿病治疗融合的重要里程碑。
血糖控制更加平稳,系统修复更为彻底——这正是干细胞技术为医学未来开启的全新可能。
