
2022年4月13日,国际知名医学期刊《Nature Medicine》刊发了邓宏魁教授的最新研究结果,揭示了关于干细胞治疗糖尿病的实验进展及研究成果。

4月13日晚,国际学术期刊《自然》杂志发表我国干细胞制备技术重要突破,邓宏魁教授团队首次在国际上报道使用化学小分子改变人类体细胞,获得新一代的干细胞制备技术,未来可用于治疗糖尿病、重症肝病、恶性肿瘤等重大疾病。
在邓宏魁教授团队通过在脐带细胞的培养液中,滴上几种化学小分子制剂,经过将近一个月的培养,人体皮肤细胞的结构和形状就会彻底发生改变,成为新型的人类多潜能干细胞,也被称为人类生命发育的“种子细胞”。
诱导多潜能干细胞(iPSCs)。由于多潜能干细胞与胚胎干细胞高度相似,具有形成人和动物个体内所有类型细胞的多向分化潜能和不断自我更新的特性, 并且不受细胞来源、免疫排斥、伦理、宗教和法律等诸多方面的限制, 使其在细胞替代治疗、组织器官再生、基因治疗、发育生物学、药理及毒理学等领域的研究中有着独特的作用和优越性。
近年科学家们已成功将小鼠和人的体细胞在体外重编程为iPSCs, 并成功诱导其分化为各种细胞类型,为疾病模型的研究奠定了基础。
邓宏魁研究组大幅改进了人多能干细胞向胰岛细胞的分化方案,重点解决了如何高效率地诱导从胰腺前体细胞向胰岛内分泌细胞命运特化的难题,从而使体外大规模制备功能成熟的胰岛细胞成为可能。
作为国际首个在非人灵长类模型上系统地评价人多能干细胞来源的胰岛细胞治疗糖尿病可行性的研究,本研究在非人灵长类动物模型上证明了人多能干细胞分化的胰岛细胞在糖尿病治疗中的安全性和有效性。
糖尿病是一种以高血糖为特征的慢性代谢疾病,当胰腺产生不了足够的胰岛素或者人体无法有效地利用所产生的胰岛素时,就会出现糖尿病。

随着时间推移糖尿病会对自身的多种组织器官以及系统带来严重的损害,尤其是眼、肾、心脏、血管、神经等具有慢性损害以及功能障碍。糖尿病已经成为威胁人类生命健康最普遍的一类疾病。干细胞,尤其是间充质干细胞具有低免疫原性和多能性等特性,已用于多种疾病的治疗研究。近年来,研究人员正在开发一种基于干细胞治疗1型糖尿病的方法。研发人员采用的干细胞是一种具有自我更新、多向分化潜能和高增殖能力的成体干细胞。它们不仅能够繁殖产生新的干细胞,而且还能分化为其他类型细胞,可修复受损的机体。这些干细胞可以在某些微环境中分化为功能性细胞,如分泌胰岛素的细胞。
▲干细胞治疗糖尿病策略一:在体外利用人的多能干细胞分化成胰腺祖细胞,继而产生能分泌胰岛素的β样细胞。
研发人员已开发出了一些不同的策略使干细胞转化为可生产胰岛素的细胞,来替换受损的细胞。随着这些技术不断发展,研究人员希望将其用于治疗另一种疾病:2型糖尿病。
▲干细胞治疗糖尿病策略二:将干细胞回输到人体胰岛中,在胰腺微环境的诱导下定向分化为正常的成熟胰岛样细胞并分泌胰岛素,达到治疗糖尿病的目的。
全世界有4亿多2型糖尿病患者,其中许多人需要长期频繁注射胰岛素,给患者带来很大痛苦,急需一次给药长期有效的新疗法。

干细胞治疗糖尿病的优势在于:
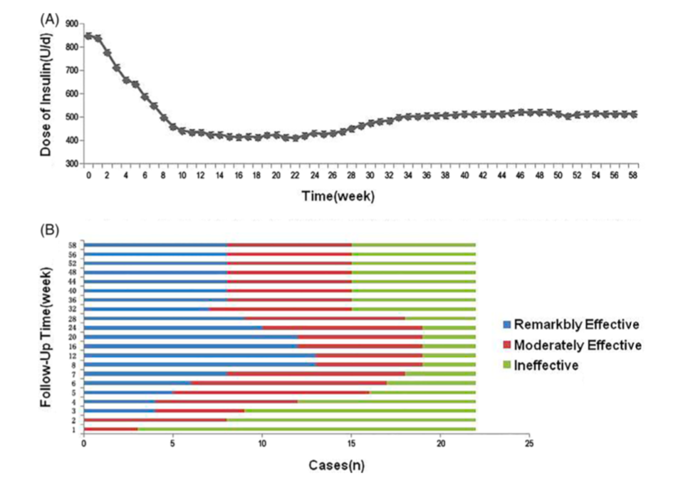
(1)干细胞具有多向分化潜能,干细胞通过诱导能够分化成为胰岛β细胞;(2)干细胞具有强大的旁分泌作用,包括干细胞与胰岛共同治疗增强胰岛存活,(3)干细胞的免疫抑制作用,抑制T细胞增殖,降低炎症反应;(4)干细胞分泌的细胞因子,能够修复受损细胞,促进细胞增殖分化,具有抗氧化能力,保护内源性β 细胞,从而改善了胰岛β细胞的功能。 国外利用干细胞全分化的胰岛细胞治疗1型糖尿病,获得了积极的结果2021年10月18日,美国研究人员用干细胞的全分化胰岛细胞替代疗法在治疗首例1型糖尿病患者中获得积极数据:患者在接受单剂治疗90天后体内胰岛素恢复生产,并且每天胰岛素使用量减少91%。据悉,这是首次治疗数据证实这一细胞疗法可显著恢复1型糖尿病患者的胰岛细胞功能。该项研究纳入了上海某医院内分泌科2018年5-8月收治的24例II型糖尿病患者,治疗期为6周。在此期间患者接受3次间充质干细胞(MSCs)静脉回输治疗。入组时进行第一次回输,第二次和第三次回输分别在第一次输注后 1 周和 4 周。每次干细胞输注的剂量计算为1×106个/kg。第三次干细胞治疗后 1、2、3、6、9 和 12 个月进行随访。共有22名患者完成了该项研究。结果显示,胰岛素日剂量在治疗期内显着降低,治疗期结束时较基线降低35.34%。在随访期间,胰岛素的日剂量进一步减少。与基线水平相比,治疗期结束后3、6、9个月胰岛素日剂量分别下降51.18%、43.39%和39.39%。之后,剂量相对稳定,没有明显减少。治疗期末总有效率为86.36%(19/22)。两名患者在治疗期间停止注射胰岛素。治疗期结束后6个月总有效率为81.82%(18/22)。另一名患者在随访期间停止注射胰岛素。到治疗结束时,总有效率为 68.18%(15/22),其中3名患者已停止注射胰岛素(图B)。在其他4名患者中,胰岛素注射频率也比基线时有所降低。 通过相关性分析发现,干细胞治疗前血糖水平与疗效相关;也就是说,HbA1c <8.5% 的入组患者在治疗后显着降低了每日胰岛素剂量。患者治疗前胰岛功能状态与治疗后胰岛功能恢复程度密切相关,FCP>1.7 ng/mL、P2hCP>3 ng/mL的患者治疗后胰岛功能恢复较好(图 5B,C)。此外,干细胞治疗前 TC <5 mmol/L 或 TG ≤1.5 mmol/L 或 LDL-C < 3.2 mmol/L 的患者每日胰岛素剂量显着降低,这表明血脂水平也与干细胞治疗效果有关。

此外该项研究对干细胞治疗的安全性也进行了观察。低血糖是研究期间最常见的不良事件。在治疗期间,所有 24名患者的低血糖频率均有所增加,并达到每名患者每周 0.51次的峰值。在随访期间,所有22名患者的低血糖频率均显着降低。MSCs治疗后6个月,每名患者平均每周低血糖发生频率约为0.09次,与治疗前水平相似(图 A,B)。除低血糖外,治疗期间其他常见不良反应为一过性发热(11.11%)、乏力(4.17%)、皮疹(1.39%)。所有这些不良反应均发生在MSCs治疗后 24 小时内,经适当标准治疗后症状缓解。结论:上述研究结果表明,间充质干细胞治疗是一种安全有效的改善2型糖尿病患者糖代谢和胰岛功能的疗法。血脂水平和基线胰岛功能可能是影响2型糖尿病患者患者间充质干细胞治疗结果的关键因素。 2019年,美国《时代》周刊将干细胞治疗糖尿病纳入改变未来十大医疗的12大创新发明列表中。干细胞治疗糖尿病的临床应用时代已经来临。相信在不久的未来,随着研究的不断深入和临床技术的不断成熟,糖尿病患者可以完全摆脱严格控制饮食,餐前饭后关注血糖,担忧并发症危及生命的疾病困扰,获得更高质量和更加健康的生活方式。
上海本正生物工程有限公司提供的干细胞是从脐带、胎盘中提取的一种修复器官机理的未完全分化的原始细胞,具有自我更新、多项分化和高度繁殖的能力,医学上称为“万能细胞”,它是形成人体各种组织器官的起源细胞。干细胞对临床上一些疑难疾病的治疗如:脑瘫、老年痴呆、脑萎缩、帕金森病、中风、肝硬化、糖尿病、红斑狼疮、股骨头坏死、软骨和关节损伤、心脏和脊髓损伤等,取得显著效果,它拥有更加鲜活细胞能量,可以快速、有效进入体内,分泌多种有益细胞因子,调节体内微环境,激活干细胞再生能力,重启时光之门,追溯青春绽放源头,实现对人体衰老状态减缓,同时有效改善身体亚健康以及预防肿瘤发生。

|