| 干细胞技术被认为是未来攻克糖尿病、治愈糖尿病最有前景的方向之一。2021年5月,Mass General Brigham 把“干细胞疗法治疗糖尿病”的技术评为“颠覆性技术”Top12。2022年5月3日,研究人员发表在《干细胞研究与治疗》杂志上的题为“Efficacy and safety of umbilical cord-derived mesenchymal stem cells in Chinese adults with type 2 diabetes: a single-center, double-blinded, randomized, placebo-controlled phase II trial ”的临床研究结果,表明:通过静脉输注给予脐带间充质干细胞(UC-MSCs)是一种安全有效的方法,可以减少外源性胰岛素需求,缓解2型糖尿病患者的胰岛素抵抗。脐带间充质干细胞是2型糖尿病的潜在治疗选择。

2型糖尿病(T2DM):由营养过度和活动不足引起的胰岛素抵抗和β细胞损伤引起的代谢应激,持续的高血糖会导致微血管和大血管并发症。根据2018年我国慢性病及其危险因素监测结果显示,18岁及以上人群2型糖尿病 (T2DM)患病率为10.4%。T2DM的主要病理生理特征为胰岛素抵抗伴随胰岛β细胞功能缺陷。当前治疗方法主要是饮食控制、口服降血糖药物以及外源性胰岛素注射。对于晚期II型糖尿病,胰腺移植仍是主要选择,但存在费用昂贵、副作用明显等缺点。此外,这些治疗无法阻止胰腺β细胞功能下降。因此,替代疗法对II型糖尿病的治疗至关重要。间充质干细胞具有低免疫原性,可以更新、再生并分泌关键因子来修复组织、维持细胞功能等,在II型糖尿病临床试验中使用最多。国内外已有多篇文献报道了MSC治疗II型糖尿病的有效性和安全性,间充质干细胞显然已成为了II型糖尿病治疗的新希望。因此,开展了一项单中心、随机、双盲、安慰剂对照的试验,以探讨静脉输注UC-MSCs在T2DM患者中的疗效和安全性。与安慰剂组相比,人脐带间充质干细胞(UC-MSCs)组有更多的患者达到主要终点。即在干预后48周,脐带间充质干细胞(UC-MSCs)组20%的患者实现了糖化血红蛋白 (HbA1c) 水平<7.0%和每日胰岛素减少≥50%的目标,而安慰剂组为4.55%(p < 0.05)如下图:
🔺上表为随访 9-48 周时 HbA1c 水平 < 7.0% 且每日胰岛素降低 ≥ 50% 的患者百分比
总体而言,细胞干预组13.5% (5/37)的患者在使用人脐带间充质干细胞(UC-MSCs)全身回输调理后8-24周(12±7.6周)达到不再使用胰岛素水平,并在37.2±15.2周内保持无胰岛素水平,没有再次使用。安慰剂组中没有一名患者脱离胰岛素。简单来说就是细胞干预组中有5人在干细胞调理后10到13个月的随访时间内摆脱了胰岛素依赖。人脐带间充质干细胞(UC-MSCs)全身回输后HbA1c水平下降,在细胞干预调理后9周观察到最大下降,在随访的20、32和48周略有上升,不过仍然低于基线值。在48周时,脐带间充质干细胞(UC-MSCs)组的HbA1c水平下降了1.31%,而对照组仅下降了0.63%(p= 0.0081),这些结果表明,UC-MSCs回输调理2型糖尿病具有积极潜力。(本研究相关试验注册已在 ClinicalTrials.gov 上注册(标识符:NCT02302599)。)
🔺上表为用 UC-MSCs 或安慰剂干预调理后的胰岛素需求水平和 HbA1c 水平。HbA1c,糖化血红蛋白 A1c
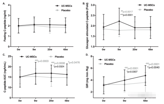
脐带间充质干细胞(UC-MSCs)组中胰高血糖素刺激的C肽水平的倍数变化在9周时增加,在 20 周和 48 周时逐渐降低,虽然最终细胞干预组的C肽水平在试验期间没有显著变化,但是安慰组的C肽水平在试验期间一直在持续下降。
🔺上表为用 UC-MSCs 或安慰剂干预后的胰岛 β 细胞功能和胰岛素抵抗。GIR,葡萄糖输注速率
另外,HEC(高胰岛素正葡萄糖钳夹,胰岛素抵抗金标准)结果显示:人脐带间充质干细胞(UC-MSCs)回输调理有效降低了T2DM患者的胰岛素抵抗。UC-MSCs 组的葡萄糖输注速率(GIR)显着增加(从3.12 到4.76 mg/min/kg,p<0.01),而安慰剂组未观察到显著变化(从3.26到3.60 mg/min/kg,p˃0.05; 两组之间p<0.01)。首先研究试验是在2015 年 10 月至 2018 年 12 月期间,筛选了183名患者的资格,最终招募了91名患者。入组受试者被随机分配接受人脐带间充质干细胞(UC-MSCs)全身回输(n =45)或安慰剂(n=46)。共有73名(86.8%)患者完成了试验,其中脐带间充质干细胞组(UC-MSCs)组37名(82.2%)患者和安慰剂组36名(78.3%)患者。两组患者在基线时的人口统计学和临床特征是平衡的(如下图2显示)。脐带中提取的脐带间充质干细胞(UC-MSCs),传代四次。符合入选标准的患者被随机分配接受三次静脉输注 UC-MSCs(100mL)或相同体积和外观的安慰剂(UC-MSCs 悬浮液,由含有3%人白蛋白和0.5 mL多种维生素的生理盐水组成)每次间隔4周,观察24h后出院,无不良反应。每次回输细胞UC-MSCs总数为1×106/kg。出院后,每12周随访患者,并要求患者在随访期间内每天都进行自我血糖监测(每周≥15次,包括5点曲线)。建议患者在住院和随访期间保持规律的糖尿病饮食和健康的生活方式。如果在研究过程中的任何时候患者的每日胰岛素总剂量≤0.2U/kg,则停止使用外源性胰岛素,并给予口服抗糖尿病药物以预防低血糖。如果患者出现血糖失控,且每日胰岛素总剂量为˃1.5U/kg,则停止研究。作者最后在讨论中提及,在该研究的细胞干预组中,胰岛素减少的百分比和无胰岛素患者的比例低于其他研究中的报道,这可能是由于入选受试者的异质性所致。这项前瞻性、单中心、随机、双盲、安慰剂对照试验表明,通过静脉输注给予UC-MSCs是一种安全有效的方法,可以减少外源性胰岛素需求,缓解T2DM患者的胰岛素抵抗。
干细胞是从脐带、胎盘中提取的一种修复器官机理的未完全分化的原始细胞,具有自我更新、多项分化和高度繁殖的能力,医学上称为“万能细胞”,它是形成人体各种组织器官的起源细胞。干细胞对临床上一些疑难疾病的治疗如:脑瘫、老年痴呆、脑萎缩、帕金森病、中风、肝硬化、糖尿病、红斑狼疮、股骨头坏死、软骨和关节损伤、心脏和脊髓损伤等,取得显著效果,它拥有更加鲜活细胞能量,可以快速、有效进入体内,分泌多种有益细胞因子,调节体内微环境,激活干细胞再生能力,重启时光之门,追溯青春绽放源头,实现对人体衰老状态减缓,同时有效改善身体亚健康以及预防肿瘤发生。
|