设为首页 加为收藏 联系我们
当前时间:
咨询热线:400-1010-468  
http://www.shbzsw.com.cn  
E-mail:SHBZSW@163.COM  
地址:上海市世贸大厦
行业新闻 您的当前位置:首页 -> 新闻中心 -> 行业新闻  
 
干细胞治疗逆转肺纤维化,重塑肺功能
发布时间:2025-05-09 文章来源:本站  浏览次数:419

肺纤维化就是肺泡及间质结构发生变化,简单地说一点就是像是干燥晾干的橘子皮,这就是我们所说的肺纤维化。由于肺纤维化在临床上尚缺乏特异性的治疗手段,肺纤维化素有“不是癌症的癌症”之称。

肺纤维化(pulmonary fibrosis,PF)是一类预后极差、严重影响患者生存质量的疾病,其病理特点为肺部炎症导致肺泡持续性损伤及细胞外基质的反复破坏、修复、重建和过度沉积。肺部正常组织被过度增生的纤维组织取代的过程。像下图所示,左边是正常的肺,右边是发生纤维化的肺。右边像疤痕的组织,就是发生了纤维化的肺组织。

图片

01

肺纤维化的表现

轻度肺纤维化患者剧烈运动时可发生呼吸困难,常被忽视或者误诊。随病情的进一步加重,静止状态下还可表现为呼吸困难甚至可进行性呼吸困难伴干咳、无力等。还有半数以上肺纤维化患者表现为杵状指,紫绀等。

肺纤维化得不到有效的治疗,可使正常肺组织结构改变、功能渐失、无气体交换功能纤维化组织代替肺泡,继而使氧气无法正常地进入血液循环,造成呼吸不畅、缺氧、酸中毒等一系列问题,甚至失去了最基本劳动力,仅能依靠呼吸机维持生命,并最终可能因呼吸衰竭致死。

图片

02

干细胞应用于

肺纤维化的临床研究

肺组织具有结构特殊性,毛细血管床丰富,高容量、低阻力,干细胞疗法输入后易在肺内发生滞留,使得干细胞疗法在干预肺部疾病提供有利条件。

研究发现干细胞具有抗炎、改善肺气肿,抗细胞凋亡,具有一定上皮修复作用。干细胞可归巢、迁移并分化为肺泡上皮细胞以修复受损的肺组织,还可通过抑制炎性因子表达、分泌多种生物活性分子等机制发挥其抗炎、抗纤维作用。

临床研究一

方法:20 例用力肺活量 (FVC) ≥40% 和肺部一氧化碳弥散量 (DLCO) ≥20% 且在过去 12 个月内均下降 >10% 的患者被随机分为两组:一组静脉注射同种异体脐带来源间充质干细胞,每 3 个月一次。第二组接受安慰剂。
结果:在MSC治疗组中,研究者观察到与安慰剂相比,13周的6分钟步行距离、26周的DLCO和39周的FVC明显改善。间充质干细胞治疗组 12 个月的 FVC 较基线增加 7.8%,而安慰剂组下降 5.9%。没有发现两组之间的死亡率差异(每组两名患者死亡)或高分辨率计算机断层扫描纤维化评分的任何变化。
总结:对于 IPF 和肺功能快速下降的患者,使用同种异体间充质干细胞治疗是一种安全且有前途的减缓疾病进展的方法
图片
图1. 在治疗期间从基线水平开始与实际值的差值(delta)(y轴)(显示中位数、最小值和最大值,25% 和 75% 四分位数):(A)用力肺活量(FVC),(B)一氧化碳弥散能力  和 (C)6MWD。(D)主要组和对照组在治疗前 12 个月和治疗期间(第 52 周)FVC 中位数(预测百分比)相对于基线的变化。在图例中,3、6、9 和 12 分别表示 3、6、9 和 12 个月后的值

临床研究二

脐带间充质干细胞(UC-MSC)治疗IPF

方法:一例 56 岁的 IPF 男性,在接受长期氧疗 (LTOT)。患者接受HUC-MSC静脉输注,随访12个月。在治疗前后进行临床和运动测试,以及评估生活质量的问卷调查。

结果:在 12 个月结束时,LTOT 要求已相应减少;在患者中观察到身体机能、生活质量和呼吸参数方面的改善。

总结:HUC-MSC 静脉输注对 IPF 患者有益,可被视为一种额外的治疗选择

图片
 IPF 患者 HUC-MSC 移植前后的心肺和临床检查
图片
放射扫描。(A) HUC-MSC治疗前的放射扫描。(B) 12 个月结束时 HUC-MSC 治疗后的放射学扫描。HUC-MSCs,人脐带间充质干细胞
临床研究三
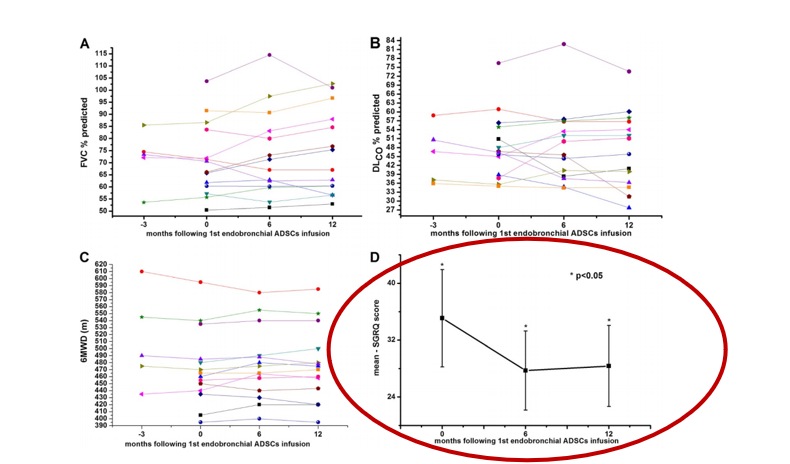
方法研究者进行了一项 Ib 期非随机临床试验,以研究三次支气管内输注干细胞 -血管基质组分 (SVF)的 IPF 患者的安全性(n=14), 每次输注量为每公斤体重 50 万个细胞, 患者疾病严重程度为轻度至中度(用力肺活量 –FVC>50% 预测值和一氧化碳弥散量-DLCO>预测值的 35%)。在连续时间点(基线、首次输注后 6 个月和 12 个月)肺功能、运动能力和生活质量参数的改变是探索性的次要终点。
结果通过多个时间点进行的详细安全监测表明,细胞治疗的患者在肺功能参数和生活质量指标方面均未恶化,圣乔治呼吸问卷 (SGRQ) 分数改善。
总结:干细胞治疗可改善圣乔治呼吸问卷 (SGRQ) 分数
图片

支气管内输注期待来源干细胞-血管基质组分 (ADSC-SVF) 前后的探索性疗效终点。A. 每个受试者的用力肺活量 (FVC)% 。每行代表在单个受试者中进行的测量。时间点 0 个月表示首次支气管内输注 MSCs-SVF 的时间。如图所示,第一次支气管内输注后  6 个月和 12 个月与基线相比没有统计学显著变化。时间点 −3 个月表示治疗开始前的时间段。B.随着时间推移,每个受试者的一氧化碳弥散量 (DLco)% 。每行代表在单个受试者中进行的测量。如图所示,第一次支气管内输注后  6 个月和 12 个月与基线相比没有统计学显著变化。C. 随时间推移的 6 分钟步行距离 (6MWD)。如图所示,第一次支气管内输注后  6 个月和 12 个月与基线相比没有统计学显著变化。D.随时间推移的圣乔治呼吸问卷 (SGRQ) 分数。如图所示,第一次支气管内输注后  6 个月和 12 个月与基线相比数值下降,变化具有统计学显著意义。

03

干细胞应用于

肺纤维化的作用机制


1、组织修复作用


烟草烟雾的反复作用可直接造成组织细胞损伤,此外吸烟可引起体内出现蛋白酶与抗蛋白酶的失衡,正常的细胞外基质可被体内的蛋白酶降解,进而破坏肺泡的完整性从而加重肺组织的损伤导致肺气肿的形成。

在试验中得出结论:MSC的分化功能有助于组织修复以防止间质性肺炎的恶化。MSC也可通过旁分泌作用去修复损伤的组织。


2、抗炎作用


炎症是能使机体内环境达到平衡状态的一个重要机制,当即出现异常时,通常会导致疾病发生,炎性介质的产生以及炎性细胞的聚集与活化参与间质性肺炎的病程进展。

研究表明,MSC与巨噬细胞相互作用进而调节炎症反应。


3、抗氧化作用


目前在烟草中已检测出羟自由基以及上千种氧化物,长期吸烟可加重体内氧化负担,机体出现氧化/抗氧化失衡时,活性氧类可与脂质、蛋白质、DNA、RNA等生物分子发生反应导致细胞损伤和死亡,这大大推动了间质性肺炎的发展。

MSC具有调节氧化应激反应的作用,能减少氧化反应对脂类、蛋白质、DNA的损伤作用,有效降低氧化应激产物的浓度。


4、免疫调节作用


MSC可通过降低DC细胞相关的迁移因子的表达来抑制DC细胞的迁移。并通过旁分泌作用对T细胞进行调节。


5、抗细胞凋亡作用


细胞凋亡是肺泡间隔断裂、肺泡结构破坏的重要原因,在肺气肿形成过程中涉及多种细胞的凋亡,在吸烟导致间质性肺炎的患者可同时出现内皮细胞以及肺泡上皮细胞凋亡。

MSC可分泌VEGF(血管内皮生长因子)以减少缺氧所致内皮细胞及上皮细胞的凋

目前,作为一种新的间质性肺炎的治疗方案,间充质干细胞凭借免疫调节、抗炎、修复作用以及低免疫原性等特点,在肺纤维化治疗领域展现了良好的前景,有助于减轻患者肺部损伤状况,抑制肺纤维化的快速发展,为促进肺功能恢复带来新的希望。

上一篇: 间充质干细胞为治疗干燥综合征带来新策略
下一篇: 17次NK细胞谱写晚期肝癌患者的生命奇迹
关于我们  |  公司掠影  |  新闻中心  | 联系方式  |  在线留言
版权所有 Copyright(C)2015-2016 上海本正清源干细胞科技集团有限公司